合作客戶/
拜耳公司 |
同濟大學 |
聯合大學 |
美國保潔 |
美國強生 |
瑞士羅氏 |
相關新聞Info
推薦新聞Info
-
> 新型多羥基苯磺酸鹽驅油劑的界面張力優化及油田應用潛力分析(一)
> 基于最大氣泡壓力方法測量液態鋰錫合金表面張力
> 烷基糖苷表面活性劑界面張力與潤濕性相關性研究(二)
> 烷基糖苷表面活性劑界面張力與潤濕性相關性研究(一)
> 嵌段比例對溫敏聚合物表面張力的影響及臨界膠束濃度分析(五)
> 嵌段比例對溫敏聚合物表面張力的影響及臨界膠束濃度分析(四)
> 利用表面張力優化浮選工藝:調整劑AY在石英-膠磷礦分離中的活性調控(二)
> 利用表面張力優化浮選工藝:調整劑AY在石英-膠磷礦分離中的活性調控(一)
> 嵌段比例對溫敏聚合物表面張力的影響及臨界膠束濃度分析(三)
> 嵌段比例對溫敏聚合物表面張力的影響及臨界膠束濃度分析(二)
以豆蔻酸與氫氧化膽堿的配比控制泡沫的穩定性-IF=4.2-表面活性劑乳化氣泡性能研究【下】
來源:上海謂載 瀏覽 1453 次 發布時間:2022-09-08
摩爾比對表面性質的影響。由于我們的目標是了解泡沫是如何作為R的函數穩定的,因此必須收集有關這些脂肪酸分子如何吸附在空氣中的信息?水界面。通過耦合表面張力和鏡面中子反射率(SNR)測量,我們重點研究了作為R函數的表面特性。
我們測量了室溫下表面張力隨R的變化,以確定對肉豆蔻酸表面活性的影響(圖3)。對于0.4<R<1,表面張力約為26±2mN/m。1≤R<1.2時,表面張力從26到45 mN/m急劇增加。當R>1.2時,表面張力保持恒定在45±1mN/m左右。作為R的函數,確定了三種表面張力狀態:低、中、高表面張力。通過與先前研究中確定的作為R函數的pH值變化進行比較,我們觀察到三種表面張力狀態完全遵循了本體pH值的變化(圖3)。30
圖3.氫氧化膽堿/肉豆蔻酸分散體的表面張力(黑色圓圈)和pH(藍色正方形)隨25°C下摩爾比R的變化。
除了表面張力測量之外,文獻中還描述了表面活性劑系統的各種界面結構,中子反射率是確定空氣/水界面(表面活性劑單層、層狀相、多層狀囊泡和管)界面結構的有力技術。45?47我們在20°C下進行了兩個摩爾比R的SNR實驗,其中R為本體自組裝雙層結構:R=0.4(多面囊泡)和R=0.5(層狀相)。在SNR曲線上,我們觀察到?4來自純空氣/水界面的散射衰減和顯示界面處存在肉豆蔻酸厚層的規則干涉條紋(圖SI.2和SI.3)。為了擬合SNR數據,我們使用了多層模型(數據擬合描述見支持信息)。45,48從這些結果,我們可以得出結論,多面囊泡和層狀相在空氣中形成層狀相結構?水界面吸附在脂肪酸單層下方。
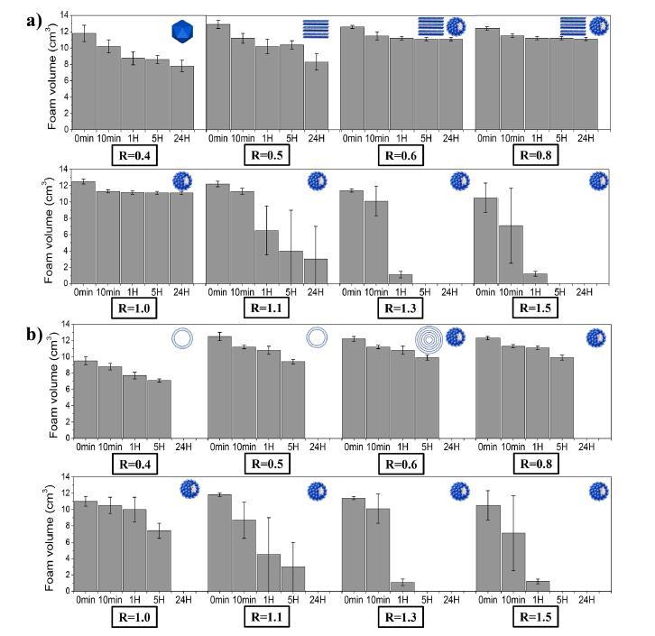
摩爾比對泡沫性能的影響。我們研究了作為R和溫度函數的泡沫性能(發泡性和泡沫穩定性)。摩爾比在0.4至2.0之間變化,溫度固定在15或35°C,以便在本體中具有不同的自組裝體(圖4)。
首先,我們通過將氮氣鼓泡到每個脂肪酸分散體中來生產泡沫,從而可以根據泡沫性(產生多少泡沫)和泡沫穩定性(泡沫如何演變)進行定量描述。在所有溫度下,泡沫在60±5 s左右迅速形成,由均勻的小氣泡組成(在50?100μm)(表SI.1和圖SI.4)。僅當R>1.5時,我們觀察到達到固定泡沫體積所需的時間略有增加。因此,無論R值是多少,發泡能力都很高,因為所有氣體在發泡結束時都包封在泡沫中,不受自組裝結構的影響。
圖4:在兩種溫度下(a)15°C和(b)35°C下,不同摩爾比(R)的氣泡氣體產生的泡沫體積隨時間的變化。示意圖顯示了根據先前研究確定的R和溫度的函數,整體存在的自組裝件。30
為了獲得泡沫穩定性的信息,我們記錄了泡沫體積隨時間的變化(圖4)。首先,在15°C下,對于0.4<R<1.2,泡沫體積在3600 s內保持恒定,約為40 cm3(圖4.a)。這些泡沫可以表示為穩定泡沫。對于R=1.3,泡沫體積在3600秒后緩慢下降至30cm3。該泡沫具有中等穩定性。對于R≥泡沫體積隨時間迅速減小。在實驗結束時,泡沫柱內只剩下少量氣泡。這些泡沫被分類為不穩定泡沫。我們觀察到作為R函數的三種狀態(圖4a)。在25°C時,自組裝體與15°C時的整體相同,觀察到泡沫穩定性的變化(圖SI.5)。在35°C時,還獲得了三種狀態(圖4b)。對于0.4<R<1.1,在3600 s內觀察到穩定泡沫,泡沫體積恒定在40 cm3左右。對于R=1.2,泡沫具有中等穩定性,泡沫體積隨時間緩慢減少。對于R≥1.3,泡沫不穩定,泡沫體積隨時間快速減少。在所有溫度下,觀察到三種泡沫穩定性狀態,我們將其分為穩定泡沫、中等穩定性和不穩定泡沫。隨著溫度的升高,只有兩種狀態之間的極限略微向較低的R移動。此外,泡沫在35°C時的穩定性稍差,因為泡沫在2400 s后開始在頂部破裂,而在15和25°C時泡沫沒有發生任何變化。
我們還測量了泡沫內液體量隨排水時間的變化(圖SI.6)。在所有R和溫度下形成泡沫后,液體分數約為20±5%。沒有觀察到液體分數隨R變化的趨勢。所有樣品的液體分數隨時間迅速下降,表明無論R如何,都會發生排水。然而,我們觀察到,在R<1時,35°C時的排水速率比15°C時更快。對于R,液體分數下降更快≥1適用于所有溫度。
圖5:在兩種溫度下(a)15°C和(b)35°C下,通過手搖動不同摩爾比(R)產生的泡沫體積隨時間的變化。示意圖表示作為R和溫度的函數的大量自組裝體。
在文獻中已知,泡沫生產方法影響泡沫性能。44作為比較,我們還通過手搖動生產泡沫(圖5)。搖動的優點是可以在封閉的瓶子中進行,這允許我們在更長的時間內(在我們的情況下為24小時)跟蹤泡沫體積的演變。此外,使用兩種不同的發泡技術會導致泡沫生產結束時產生不同的氣泡尺寸和液體分數。使用手搖動來確認從鼓泡技術(即三種泡沫穩定性狀態)得出的觀察結果。在所有R和溫度下形成泡沫后,液體分數在30±5%左右。握手法產生的氣泡直徑大于鼓泡法(約50?100μm用于起泡,約150μm用于握手)。
在15°C下,我們再次獲得了三種泡沫穩定性狀態(圖5a)。對于0.4<R≤1.1在15°C下保存泡沫24小時后,泡沫體積略有減少。對于R=1.1,在24小時后,泡沫體積從約12 cm3減小到3 cm3,并且如肉眼所見,氣泡尺寸增大。對于R≥1.3僅1小時后幾乎沒有更多泡沫。在35°C下,無論R值如何,24小時后沒有更多泡沫(圖5b)。5小時后,再次觀察到三種泡沫穩定性狀態。對于0.4<R≤1、泡沫保持5小時后泡沫體積僅減少幾cm3,泡沫穩定。對于R=1.1,5小時后,泡沫具有中等穩定性,因為泡沫體積從約12 cm3減少到3 cm3,伴隨著氣泡尺寸的增加。對于R≥1.2,泡沫不穩定,僅1小時后不再有泡沫;塑料管內只剩下幾個非常大的氣泡。在25°C下觀察到相同的趨勢,0.4<R<1的穩定泡沫,1≤R≤1.1和R的不穩定泡沫≥1.2(圖SI.7)。
在這兩種發泡方法之間,我們觀察到結果非常接近,且泡沫體積隨時間隨R變化的三個主要狀態有所不同。然而,與通過起泡產生的泡沫相比,通過握手產生的泡沫,穩定泡沫和中間穩定性之間的轉變開始轉移到較低的R值,在所有溫度下觀察到的趨勢。這表明,初始氣泡尺寸和液體分數對三種狀態之間的R閾值有輕微影響。■討論了自組裝體、界面和泡沫性能之間的聯系,作為R的函數。我們在從分子到宏觀的所有不同尺度上收集的結果表明:(i)觀察到三種不同的表面張力,它們與R緊密相關,因此與pH密切相關;(ii)發泡性不取決于R;(iii)通過R調節泡沫穩定性,并獲得三種泡沫穩定性狀態(高、中、低);(iv)在泡沫液體通道內,自組裝納米結構的結構與本體中的結構相同,并由R進行調整。這些結果的組合應允許我們通過解決以下問題來描述導致觀察到的三種泡沫穩定性狀態的機制:是來自本體或界面性質的變化,還是兩者?泡沫穩定性是由體積還是界面性質驅動的?是什么設定了高、中、低泡沫穩定性狀態之間的轉換?
眾所周知,泡沫的不穩定是由三種主要機制引起的:聚結、粗化和排水。25,49,50在這里,我們觀察到,自組裝雙層結構存在時,泡沫排水比球形膠束存在時稍慢。與球形膠束相比,含有囊泡、層狀相等的分散體的體積粘度高得多,導致排水率的差異(圖SI.8)。51,52然而,即使在低R下生產的泡沫含有微米級聚集體的情況下,泡沫排水發生,導致通過起泡(液體分數低于5%)生產的泡沫在不到1小時后產生相對干燥的泡沫,即使這種泡沫顯示出非常好的穩定性。因此,泡沫穩定性主要與模型系統中的聚結和粗化現象有關,而與排水無關。
為了限制聚結和粗化現象,界面層的機械性能,如抗壓性和彈性非常重要。在文獻中,描述了表面性質與本體中脂肪酸分子的電離狀態有關,該電離狀態由pH值25,50控制。對于脂肪酸單層,表面和本體之間的pKa差異很小。當pH值接近pKa時,脂肪酸在質子化和去質子化狀態下以1:1的比例存在。5,6,53
在我們的系統中,對于0.4<R≤1、獲得低表面張力。本體pH約為9,對應于肉豆蔻酸的pKa。根據文獻中類似系統中獲得的結果,我們可以假設在空氣/水界面,電離狀態下的質子化和去質子化分子都存在。7,54,55我們假設兩種分子物種存在協同吸附,它們通過氫鍵相互作用,導致分子間距離減小,從而在界面形成致密單層。在文獻中,已知界面上羧基的存在降低了靜電排斥力,導致更緊密的單層堆積。7,54,55這兩種物質在界面形成的致密單層產生了彈性表面活性劑層,如類似系統中所強調的。22?24當本體中的pH值通過增加R而增加時,質子化的肉豆蔻酸分子逐漸變為脫質子化。在界面處,單層中脫質子化分子與質子化的分子的比率增加,這增加了帶電羧酸鹽頭基之間的靜電排斥。與較低R時發生的情況相比,這降低了可吸附的脂肪酸的密度。因此,對于1<R<1.2,表面張力隨著脂肪酸表面密度的降低而逐漸增加。對于對應于高pH值的R>1.3,只有脫質子化分子存在于本體和界面中。羧酸鹽頭基之間的強排斥力最大,吸附密度最小,低于接近pKa的pH值(圖6)。56在這樣的R范圍內,由于界面處脂肪酸分子的低密度,表面張力達到其最高值。通過耦合表面張力和紅外吸收光譜,肉豆蔻酸鈉鹽的文獻中也描述了類似的結果。54因此,作為R的函數,存在三個不同的表面張力范圍:R<1為低,R為中等≈1和R的高?1(圖6)。由于脂肪酸分子的逐漸脫質子化,中間狀態對應于從低表面張力狀態到高表面張力狀態之間的過渡。這兩個極端之間的過渡是平穩的。
圖6.說明摩爾比(R)、泡沫穩定性、本體自組裝和表面性質之間聯系的示意圖。
最近有人提出,表面活性劑在界面形成氫鍵的能力調節泡沫膜的穩定性,從而調節泡沫在宏觀尺度上的整體穩定性。24由于我們已經在模型系統中確定了表面張力的三個R范圍,我們可以討論它們對三種不同的泡沫穩定性狀態的影響,這三種狀態被確定為R的函數:R<1時為高,R<1則為中等≈R為1和低?1(圖6)。
低于等摩爾濃度的R具有高泡沫穩定性。對于這種高泡沫穩定性體系,所有分散體在本體和泡沫液體通道中均含有大型自組裝雙層結構(多面囊泡、球形囊泡和層狀相)。這種高泡沫穩定性狀態對應于低表面張力狀態,其中在界面處形成致密單層,這確保了對氣泡的良好保護,防止其粗化和聚結。此外,我們通過SNR表明,在該脂肪酸單層下方,多面囊泡和層狀相被吸附并在界面形成多層狀相。這些結構形成厚界面層,并且已知加強氣泡的保護,因為粗化與界面層的滲透性相關。57?59
R高于等摩爾濃度時泡沫穩定性低。由含有球形膠束的分散體獲得的泡沫用于R?隨著時間的推移,1個被迅速摧毀。我們表明,泡沫液體通道內僅存在球形膠束,由于低體積粘度,不會減少排水。這種低泡沫穩定性狀態也對應于具有單層的高表面張力狀態,所述單層僅包含低密度的脂肪酸分子并且不能保護氣泡防止聚結和粗化。泡沫失穩機制未被阻斷,導致泡沫不穩定。
在這種高R狀態下,泡沫中大量過量的反離子也會影響其發泡性。在這種情況下,薄膜穩定性是由于與液膜兩側吸附的離子表面活性劑相關聯的離子雙層之間的靜電排斥。大量添加氫氧化膽堿作為抗衡離子屏蔽這些相互作用,進而導致電雙層縮短,降低泡沫的穩定性。這種快速泡沫失穩也可以解釋為什么泡沫能力低于其他R狀態;因為在泡沫形成期間已經發生失穩。60對于陽離子表面活性劑和有機抗衡離子之間的混合物,已經描述了這種現象。61,62
接近等摩爾濃度的R的中間泡沫穩定性狀態。我們的結果表明,在等摩爾濃度附近,泡沫相對穩定,即使在低泡沫穩定性區域,在體泡沫通道中僅檢測到膠束。這證明,獲得穩定泡沫所需的條件不僅是由大量自組裝結構(囊泡、層狀相等)的存在驅動的,而且還受到表面脂肪酸堆積的強烈影響。該中間狀態是兩個極端狀態(高和低泡沫穩定性)之間的平滑過渡。對于這種中間泡沫穩定性狀態,表面張力狀態也對應于高和低表面張力之間的表面填料和表面張力的交叉范圍。宏觀尺度的結果是中等泡沫穩定性。
烷基鏈熔化對相行為和泡沫穩定性的影響。在該系統中,烷基鏈熔化發生在27°C左右,這已表明會導致自組裝體的剛性從多面囊泡和層狀相變化為球形囊泡。30如以下(15和25℃)和高于烷基鏈熔化溫度(35℃)的結果所示,熔化對泡沫穩定性的影響相當低。事實上,一般泡沫穩定性趨勢不受鏈狀態的影響,在所有溫度下,始終觀察到三種泡沫穩定性狀態。然而,在27°C以上,泡沫穩定性低于27°C以下。分子尺度上的這種轉變主要改變界面層的性質,其中熔融鏈更易移動,填充較少,并且具有較低的變形阻力。因此,它們難以抵抗聚結和粗化,并導致泡沫穩定性降低。
結論
在這項研究中,我們證明,可以通過調整一個簡單的參數,即肉豆蔻酸與其有機抗衡離子氫氧化膽堿之間的摩爾比R,在宏觀尺度上調整脂肪酸體系的泡沫穩定性。事實上,R的調節導致分子尺度的變化,同時影響表面性質和微觀尺度上泡沫液體通道中的自組裝。R是將泡沫穩定性從低調整到高的簡單觸發器(圖6)。通過使用多尺度方法,我們強調,泡沫穩定性不能僅通過觀察散裝自組裝的大小和性質來解釋,這與先前在類似脂肪酸/有機抗衡離子系統中的研究結果相反。16,18事實上,我們觀察到在相同自組裝(球形膠束)存在下,相對穩定的泡沫(接近等摩爾濃度)或不穩定泡沫(高于等摩爾濃度)。我們的結果證實了Ferreira等人最近得出的關于負離子系統的結論,表明自組裝結構不是預測泡沫穩定性的唯一合適參數。29
我們系統中泡沫穩定性的差異主要與界面處脂肪酸單層的性質有關,這取決于肉豆蔻酸的電離狀態。通過控制摩爾比R,我們可以設置本體的pH值,該pH值與氫氧化膽堿反離子引入的氫氧化離子的量有關。pH值控制脫質子化和質子化分子在本體和界面上的比例,以及它們之間的相互作用:氫鍵和/或排斥靜電相互作用。界面上脂肪酸的表面張力和密度與R直接相關。因此,我們可以假設泡沫穩定性主要取決于由R控制的界面性質的變化,R在分子尺度上起著至關重要的作用。這個結果可以解釋為我們正在處理這個系統中的合并和粗化問題。這些泡沫失穩機制發生在分離氣泡的薄膜的尺度上,該薄膜由相互作用的兩個界面組成。對于脂肪酸皂體系,獲得穩定泡沫的主要要求是通過在界面處由氫鍵相互作用的質子化和脫質子化分子的混合物來穩定泡沫,從而產生致密和彈性的表面活性劑層,抵消聚結和粗化。
我們的結果似乎證實了表面活性劑頭部基團之間的分子間氫鍵對泡沫穩定性的作用,最近其他類型的表面活性劑也證明了這一點。22?24我們研究的下一個步驟是通過使用文獻中已經描述的其他抗衡離子和其他能夠形成氫鍵的表面活性劑來確認用肉豆蔻酸獲得的結果。63?65
這項基于脂肪酸皂體系的研究為理解泡沫穩定性和自組裝之間存在的關系提供了新的見解,這是所有從事配方、泡沫和自組裝的科學家感興趣的,并將刺激這方面的進一步工作。從應用的角度來看,本研究有助于改進基于脂肪酸皂的發泡配方,用于洗滌劑、化妝品等的各種應用。





