合作客戶/
拜耳公司 |
同濟大學 |
聯合大學 |
美國保潔 |
美國強生 |
瑞士羅氏 |
相關新聞Info
推薦新聞Info
-
> 新型多羥基苯磺酸鹽驅油劑的界面張力優化及油田應用潛力分析(一)
> 基于最大氣泡壓力方法測量液態鋰錫合金表面張力
> 烷基糖苷表面活性劑界面張力與潤濕性相關性研究(二)
> 烷基糖苷表面活性劑界面張力與潤濕性相關性研究(一)
> 嵌段比例對溫敏聚合物表面張力的影響及臨界膠束濃度分析(五)
> 嵌段比例對溫敏聚合物表面張力的影響及臨界膠束濃度分析(四)
> 利用表面張力優化浮選工藝:調整劑AY在石英-膠磷礦分離中的活性調控(二)
> 利用表面張力優化浮選工藝:調整劑AY在石英-膠磷礦分離中的活性調控(一)
> 嵌段比例對溫敏聚合物表面張力的影響及臨界膠束濃度分析(三)
> 嵌段比例對溫敏聚合物表面張力的影響及臨界膠束濃度分析(二)
探討一級相變過程中氣泡和液滴臨界半徑的變化規律、演化方向(二)
來源:大學物理 瀏覽 1471 次 發布時間:2024-09-23
由于熱漲落將產生一系列氣泡或液滴,此處僅考慮某一氣泡或液滴,并以其產生位置的中心作為坐標系原點。考慮到相變發生前的背景環境以及原點處的非奇異性要求,設置氣泡解的邊界條件σr=∞=σ0及dr|r=0=0,以及液滴解的邊界條件σr=∞=σv及dσdr|r=0=0,可對式(10)中σ場運動方程進行嚴格的數值求解。在固定化學勢μ=0 MeV的情況下,設定溫度T=90.0,110.0,115.0,118.0及119.5 MeV繪制了對應前者在夸克的液相背景中產生強子氣相的氣泡解如圖2(a),以及設定溫度T=130.0,128.0,127.0,126.5及126.3 MeV繪制后者在強子的氣相背景中產生夸克液相的液滴解如圖2(b)。
由圖2(a)可看出,不同溫度下會產生一系列夸克到強子相變的氣泡解,曲線拐點處可看做氣泡的半徑,大致可以認為是氣泡在此溫度下的臨界半徑。從圖中可以看出隨著溫度的升高而逐漸靠近相變臨界溫度氣泡解的半徑逐漸變大,并且在接近臨界溫度時氣泡解半徑增加隨溫度增加的變化率明顯大于遠離臨界溫度時氣泡半徑隨溫度的變化率。這說明系統在靠近臨界溫度時,氣泡的臨界半徑會急速增加,但是這并不表示此時系統中已經產生了越來越大的氣泡,恰恰相反,在氣泡臨界半徑越大時,系統中越難以產生氣泡,這是由于存在著氣泡體積能和表面張力的競爭,對于一定臨界半徑的氣泡代表著收縮與膨脹達到平橫時的氣泡,系統通常會由于熱漲落而產生大小不一的氣泡,對于臨界半徑很大時只有很小概率的隨機產生的氣泡半徑可能大于此時臨界半徑而繼續膨脹下去,而大概率的隨機產生的氣泡都小于此時臨界半徑將會繼續收縮而消失。但當溫度逐漸降低,氣泡的臨界半徑減小,將會存在越來越大的概率產生半徑大于臨界半徑的氣泡,這些氣泡發生膨脹并且彼此之間相互合并,最終充滿整個空間完成相變過程。本文對于氣泡解的數值結果與以往文獻中的結果一致。
反過來,圖2(b)所示的液滴解中同樣可做類似討論。液滴解曲線的拐點處也可以粗略看做液滴的臨界半徑,隨著溫度的逐漸降低而靠近相變臨界溫度,液滴解的半徑逐漸增加,同樣在接近臨界溫度處液滴解隨溫度的變化明顯大于遠離臨界溫度處時的變化。這就是說,在強子背景中產生了許多大小不一的夸克液滴,當溫度靠近臨界溫度時,由于此時對應液滴的臨界半徑較大,因此許多隨機產生的液滴難以達到臨界液滴的半徑就在產生后在表面張力作用下收縮消失了;但當溫度逐漸升高,液滴的臨界半徑減小,將會存在越來越多隨機產生的半徑大于臨界半徑的液滴,這些液滴發生膨脹并彼此間相互合并最終充滿整個空間完成相變過程。
進一步,本文對式(12)、(16)進行了數值求解,得到了氣泡解和液滴解的表面張力及臨界半徑在μ=0 MeV時隨溫度變化的曲線,如圖3和4.式(10)是非線性方程,難以解析求解。以往研究者的文章中曾利用薄壁近似進行解析求解進而得到氣泡表面張力隨溫度減小而單調減小的結果。但本文的數值結果圖3(a)表明,在溫度從臨界溫度開始減小時,表面張力會先增加。當溫度到達T=109 MeV附近時,表面張力達最大值,然后再隨溫度減小而單調減小。而我們知道嚴格來說薄壁近似只在臨界溫度處適用,這里表面張力的非單調變化表明在偏離臨界溫度時,薄壁近似結果是會明顯偏離嚴格數值計算結果的。這一結果與以往研究者結果是一致的。
限于數值計算的能力,在非常接近臨界溫度時的液滴解難以求解,本文僅給出相對接近臨界溫度的一段數值結果。由繪制的圖像可以看出,與氣泡解類似,液滴表面張力隨溫度逐漸接近臨界溫度而單調增加,在這段溫度范圍內,定性上本文數值結果與以往研究者在薄壁近似下所得到的解析結果一致。
值得指出的是,對于液滴解,由圖1可以看出在更高溫度時,在σ=σv處的極小值將會消失,即偽真空消失。此時全空間將是均勻的夸克相,相變已經完成,液滴解也隨之消失,所以在更高溫度區域不存在液滴解。
對于臨界半徑Rc隨溫度的變化可參見圖4,在遠離臨界溫度Tc時,氣泡和液滴的Rc都從一個較小值,隨溫度靠近Tc的方向較為平緩地增加。但隨著溫度接近Tc,Rc隨溫度的變化將越來越迅速。這意味著在接近臨界溫度的時候,相對遠離臨界溫度處,由于臨界半徑Rc迅速變大,使得系統難以產生R>;Rc的氣泡或液滴。從氣泡動力學的角度來看,雖然理論上Tc是相變的臨界溫度,但是此時的狀態只是對應相變剛剛開始的狀態,還很難產生氣泡或液滴來推動兩相的轉換,只有繼續適當降溫或升溫時,才使得系統中更有可能產生大于臨界半徑的氣泡或液滴,從而驅動相變進行并導致最終兩相的轉換。
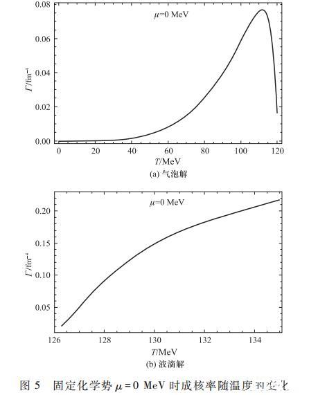
最后我們研究一下氣泡和液滴的成核率Γ以及ΔFb/T的變化規律。結合式(11)和(17)可以數值計算出相應氣泡和液滴成核率Γ以及ΔFb/T如圖5、6所示。需要強調,雖然圖4的數值結果顯示臨界半徑隨溫度降低而下降,但由于式(17)中成核率并不具備與溫度的簡單關系,因此不能簡單認為由于臨界半徑隨溫度降低而下降,從而成核率也會單調下降或上升,而是需要綜合考慮圖6數值結果以及不同溫度下因子P對成核率的貢獻。從圖5可以看出,氣泡的成核率在臨界溫度處接近0,隨著溫度下降,成核率的數值突然上升,在達到一個極值后,成核率隨溫度下降而逐漸減小,可以看到在臨界溫度以下成核率隨溫度是非單調變化的。而液滴解在臨界溫度以上,在所考慮的溫度范圍內,從臨界溫度開始成核率隨著溫度的升高而單調上升,這是由于溫度升高和ΔFb/T的單調減小所造成的效應都是使成核率單調增加的。
另外,我們也計算了薄壁近似下成核率的結果,所得到的結果與此處嚴格數值計算結果只在定量上存在差別,而成核率薄壁近似的結果和嚴格計算的結果在定性的變化趨勢上是基本一致的。另外,從圖6可以看出ΔFb/T的變化,對于氣泡解,在臨界溫度附近,隨著溫度靠近臨界溫度,ΔFb/T的值將迅速增大,而當溫度遠離臨界溫度時,ΔFb/T的值逐漸減小,但是在靠近零溫時,ΔFb/T的值又會迅速變大。
對于液滴解,ΔFb/T的值在靠近臨界溫度時也是迅速增加,而當溫度遠離臨界溫度時逐漸減小。造成這兩者變化的主要不同在于亞穩態是否會消失,對于氣泡解從圖1有效勢的變化可以看出即使到零溫,亞穩態仍然不會消失,所以ΔFb/T的值會在接近零溫時快速變大并趨于發散,但是從描述相變的角度來看遠離臨界溫度的氣泡解已經不再具有真實的物理意義。這與以往文獻中對于此模型研究的數值結果是一致的。而對于液滴解情形有效勢亞穩態會在溫度升高到Tsp=142.8 MeV時消失,Tsp這個溫度稱為亞穩態分解(Spinodal)溫度,此時液滴解不再存在,ΔFb/T的值變為0.
特別需要說明的是在臨界溫度附近,當式(17)中的指數部分ΔFb/T≌1時對應的溫度在一級相變的過程中具有重要意義,其標示了亞穩相真正向穩定相發生實際轉變的開始。以氣泡解為例,當ΔFb/T≌1時,Γ的指數項變為1/e,此時對應的溫度為T1=118.1 MeV,這說明在Tc=119.8 MeV和T1=118.1 MeV之間系統能夠在相對長的時間內保持在夸克相亞穩態。但當溫度進一步降低時,夸克相亞穩態才會實際上通過氣泡動力學過程快速地向穩定強子相轉變,即液相背景中快速產生強子氣泡并迅速膨脹合并從而完成相變過程。液滴解中的物理過程完全類似,液滴解在T2=127.3 MeV時有ΔFb/T≌1,表明在Tc=119.8 MeV和T2=127.3 MeV之間系統能夠在相對長的時間內保持在強子相亞穩態,只有當溫度進一步升高到超過T2=127.3 MeV時,系統將通過液滴成核的動力學過程快速向夸克相轉變。當溫度升高至Tsp=142.8 MeV時,強子的亞穩態真空完全消失,如果此時相變還沒有全部完成,那么系統會發生劇烈的強子相到夸克相的轉變過程。
3、總結與展望
本文主要討論了夸克物質系統在發生一級相變過程中的氣泡或液滴動力學問題。具體從F-L模型出發,理論推導得出σ場運動方程以及表面張力、臨界半徑等物理量的表達式,并利用數值方法計算了相關物理量的嚴格數值解,同時結合薄壁近似討論了氣泡和液滴臨界半徑的變化規律。根據氣泡或液滴核合成唯象模型,將相變過程看做亞穩態真空背景中產生的穩定真空的氣泡或液滴,通過數值計算具體分析了所得氣泡和液滴解結果的物理意義,并闡明了在相變過程中氣泡或液滴的演化作為一種動力學機制驅動相變的物理圖像。同時,根據成核率相關的數值結果,求解了相變過程中系統氣泡或液滴解在ΔFb/T=1時的溫度,并分析了對應的物理意義。相對前人的工作,本文主要強調了一級相變過程中熱力學系統朝向低溫和高溫不同方向演化時,會存在著氣泡解和液滴解的不同,并且清晰的給出了兩種解的物理圖像和相關性質的對比,在求解計算中主要采用動力學場方程的嚴格數值解,弱化了薄壁近似的使用。
本文雖然只在有限溫度下討論了氣泡或液滴的動力學問題,但是這里給出的分析方法同樣可以推廣到有限密度的情形。F-L模型只能給出一級相變結果,本文的結果具有一定模型依賴性,對于重離子碰撞所產生的包含平滑過渡的實際系統來講還不能很好的描述。因此接下來的研究中,希望能夠將本文工作推廣至同時具有手征對稱性和禁閉特征的QCD有效模型中,例如Polyakov-quark-meson model(PQM)模型,從而能討論在有限密度下更加接近實際情形的系統中一級相變過程中的氣泡或液滴的動力學問題,并期望能對重離子碰撞中夸克物質相變的相臨界點研究以及中子星形成過程中的內部結構研究提供一定的理論參考。





